Im Bereich der hochwertigen Sportfahrwerke ist Bilstein mit den Versionen B4 bis B16 bereits heute breit aufgestellt. Für die Fahrer eines BMW M3 der Generation E36 oder E46 hat der Fahrwerksspezialist nun ein weiteres Angebot entwickelt, das sich speziell an die immer größer werdende Trackday-Szene wendet und somit gezielt Menschen anspricht, die mit ihren Sportwagen auf eigener Achse zur Rennstrecke fahren, dort tagsüber schnelle Runden in den Asphalt brennen und sich anschließend wieder auf den Weg nach Hause machen.
Das Clubsport genannte Gewindefahrwerk stellt ein Upgrade zum bewährten B16 PSS10 dar. Zudem ist es eine Alternative zum 2008 direkt aus dem Rennsport adaptierten und sehr teuren Bilstein B16 CSC (CSC = Club-Sport Centum). Das neue Clubsport-Fahrwerk ist im Vergleich zu diesem einfacher aufgebaut und verzichtet auf die zusätzlichen, außen liegenden Ölreservoire. Somit benötigt der Stoßdämpfer weniger Bauraum, lässt sich leichter einbauen und wiegt weniger.
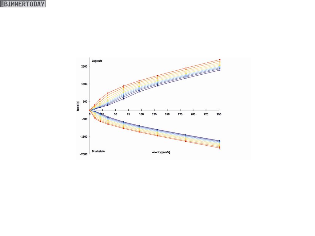
Im eingebauten Zustand lässt sich per Hand sowohl die Druck- als auch die Zugstufe des Dämpfers getrennt voneinander justieren. Die Skalierung auf den Einstellrädern geht von 1 (weich) bis 10 (hart). Insgesamt ergeben sich so pro Dämpfer hundert verschiedene Kennlinien. Das Gewindefahrwerk kann dank des Gutachtens problemlos in die Fahrzeugpapiere eintragen werden. Die Tieferlegung darf nach dem Einbau TÜV-konform um bis zu 20 mm variiert werden.
Optional werden für den Renneinsatz und ein noch präziseres Fahrverhalten steife Federbein-Stützlager aus Aluminium angeboten. Wie jedes Fahrwerk von Bilstein wurde die Version Clubsport auf der Nordschleife des Nürburgrings und im Testcenter in Papenburg abgestimmt – in diesem Fall sogar von der Rallyelegende Walter Röhrl höchstpersönlich.
(Bilder & Infos zum Fahrwerk: Bilstein / Bilder BMW M3: BMW)













